티스토리 뷰
수능이 끝나고 제가 가르치는 학생들은 하나같이 불수능이라고 울먹거리네요
뉴스에서는 킬러문항이 빠지고 난이도는 전체적으로 쉬워졌다고만 하는데
학생들이 느끼는 체감난이도는 당연히 아니었다고 생각합니다.
그러면 이제 수능이 끝났다고 해서 끝난 게 아니니 논술전형에 지원한 학생들은 18일부터 논술시험을 치르게 되는데요
준비는 어떻게 했나요?
논술은 수능수학과는 약간의 차이가 있다고 말씀드렸는데 오늘은 실제 기출문제를 보며 설명해 보도록 하겠습니다.

◈아주대학교 수리논술 가이드◈
김레오가 생각하는 아주대의 논술시험은 전형적인 수리적사고를 물어보는 말 그대로 고등학교 수학교육과정을 현실적으로 반영하여 문제가 출제되고 있다고 생각합니다.
범위도 미적분으로 한정적이며 최저등급 또한 없고 논술로만 우열을 매기는 것 같습니다.
비슷한 학교로는 인하대학교를 들수있는데요
제가 기준을 잡는 학교이기도 합니다.
◈난이도 중( ★ ★ ★ ★☆)◈
논술을 치르는 대학중에서는 중위권에 해당되며 자신의 위치를 잡을 수 있는 기준이 됩니다
여기서 기준은 자신의 6월 9월의 모의평가가 2등급정도 달성시 기준이라 쉽지만은 않습니다.
문항수는 큰 3개의 문항 안에 소문항으로 3개씩 출제가 되고 있습니다.
1번 2번 문제가 3번 문제의 난이도보다 수월하고 마지막 3번 문항이 진정한 우위를 가리는 문제가 될 것입니다.
소문제에서도 마찬가지로 1,2번문제는 우리가 흔히 알고 있는 서술형 문항과 같이 답을 도출하는 문제이며 3번 문항은 1번과 2번의 문제의 답을 통해 증명하거나 성립함을 보이는 문제로 구성되어 있습니다.
단답형 문제라면 자연계열 고등학생이라면 해볼 만하다는 생각을 하게 될 텐데 결코 쉽지만은 않습니다.

제 AI비서인 뤼튼에게 물어보니 전형적인 내요만 얘기합니다.
너무나도 당연한 얘기지만 논술을 잘하기 위해서는 먼저 수학적인 개념 부분이 확실하게 정리되어 있어야 합니다.
수학 1 수학 2 미적분의 단원을 떠올리면 그에 해당하는 단원에서 중요한 개념들을 말로 설명할 수 있어야 한다고 생각하며 머릿속의 폴더에 각각의 단원에 대한 자신의 생각을 담고 있어야 어떤 문제가 출제되더라도 꺼내어 사용할 수 있습니다.

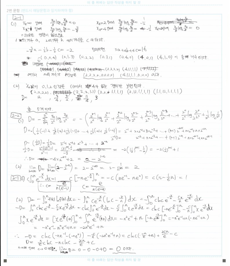
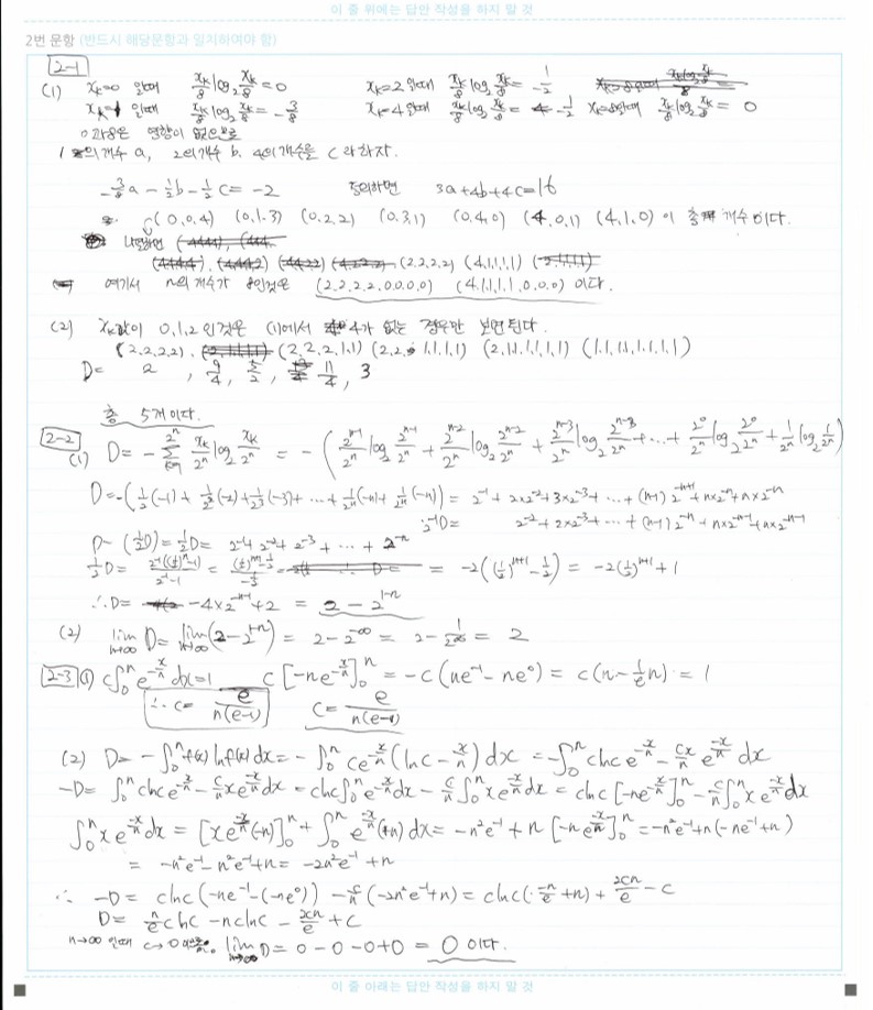
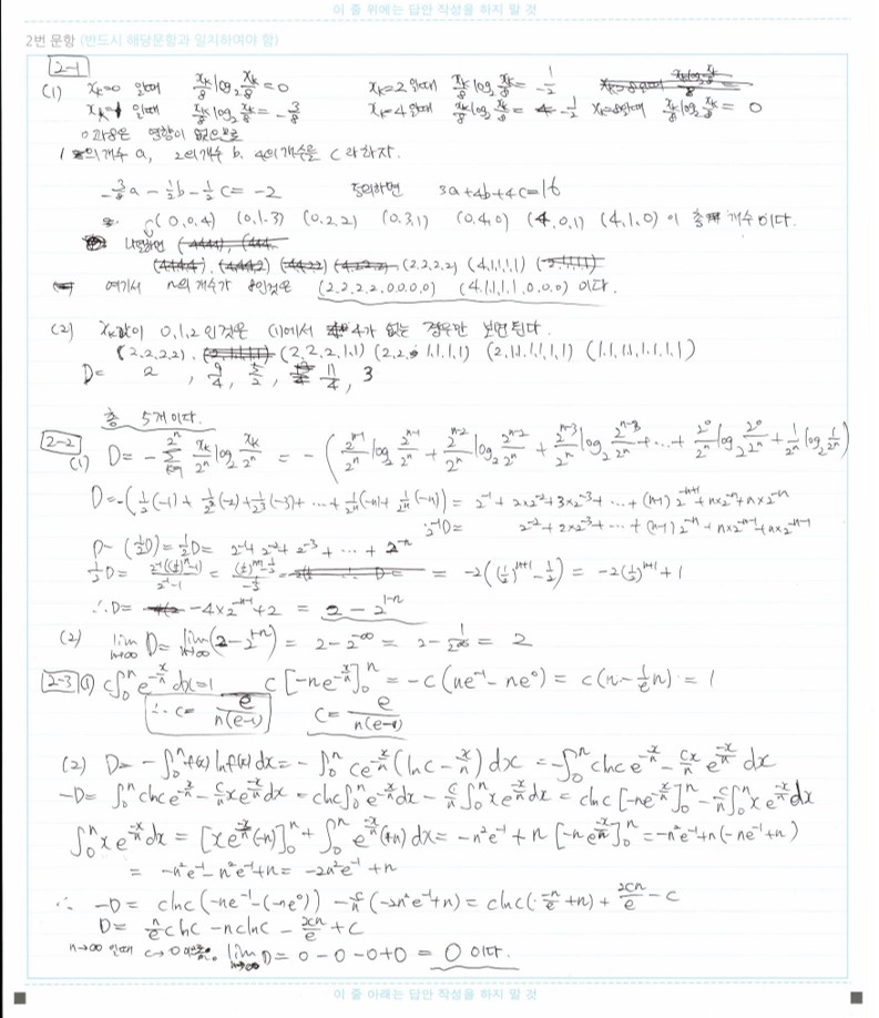
위의 답안은 간단히 읽어보시길 추천드립니다


기출문제의 일부를 발취했습니다.
위의 문제를 보면 어떤 생각이 드나요?
먼저 막막함이 먼저 들 수 있다고 생각합니다. 당연합니다.
이런 문제를 풀라고 준건지
하지만 수리적인 사고를 요구하며 고등과정외에서는 출제되지 않습니다.
제시문을 자세히 읽어보고 시작하는 것을 추천드립니다.
제가 말한 대로 앞문항에서는 단답의 형식을 묻고 뒤로 갈수록 증명이나 서술을 요구하고 있습니다.
전체적인 체감난이도는 역시 상입니다.
아주대학교 수리논술의 해법은 확실한 자신만의 개념정리입니다.
채점기준이 명확하게 들어있으므로 꼭 모의논술고사를 확인하여 내가 쓴 답안과 비교해서 점수를 반드시 확인하도록 합니다. 모의논술고사 문제지와 예시답안 그리고 채점기준을 올려놓을 테니 받아서 학습해 보기 바랍니다.
◈그럼 과년도 기출문제는 얼마나 풀어야 할까요?◈
사실 대답은 최근 2개년 3개년의 기출만 공부해 보고 다른 타학교의 기출문제도 보시길 바랍니다.
같은 라인으로 인하대학교 성균관대학교 한양대학교 등등의 수리논술 기출문제를 보며 자기만의 답안을 작성할 수 있게 학습해야 합니다. 너무 오래된 문제는 최근의 논술 트렌드에 맞지 않기 때문입니다.
물론 기출문제를 풀었다고 이번시험에 같은 문제가 나오는 확률은 거의 없기 때문에 그리고 답안지 역시 알 수 없기에 자신의 답안이 정말 그동안의 수학을 배우면서 익혔던 모든 개념들을 쏟아 답안을 작성해야 합니다.
단 제시문에 있는 개념들이어야 하겠죠
◈맺음말◈
아주대학교 수리논술 시험은 24년 12월 2일에 예정되어 있습니다. 거의 마지막에 시행하는 학교로 아직 준비할 시간이 남은 학교 중에 하나입니다. 그러므로 반복해서 문제를 분석하고 개념정립을 해가며 채점가이드에 맞는 답안을 쓰도록 연습해야 할 것입니다.
우수답안을 보며 자신이라면 어떻게 작성할지에 대해 철저한 분석이 필요한 때입니다.




수리논술 강사이력
since 2005 수능수학/수리논술/수학강의 및 대입상담